Electric Drives · Lecture 5D

Starting Methods & Speed Control

Polyphase Induction Machines — Drives & Energy Efficiency

Prof. Mithun Mondal BITS Pilani, Hyderabad Campus Second Semester 2025–2026
RECAP

Summary of Lectures 5A–5C

Lectures 5A and 5B
  • Construction, rotating magnetic field, slip s, operating modes
  • Per-phase equivalent circuit; Rr′/s power split
  • Pag:Pr,Cu:Pconv = 1:s:(1−s)
  • Tem = Pags
Lecture 5C
  • Torque-slip equation via Thévenin equivalent
  • Tmax is independent of Rr′; smax ∝ Rr
  • NEMA design classes A, B, C, D
  • DC Resistance / No-load / Locked-rotor tests
The Starting Problem — Key Numbers
Istart = 5–7 × Irated
Tstart ≈ (0.5–1.5) Trated

High inrush current with only moderate torque — both issues require engineering solutions.

SECTION 01

The Starting Problem — Root Cause

System-Level Consequences of High Istart
  • Supply voltage dip: ΔV ∝ Zsource · Istart
  • Can cause a 10–20% dip for large motors
  • Trips sensitive equipment on the same feeder
  • Thermal stress: I²t constraint on stator windings
⚖️The Torque Paradox

Reducing voltage to limit current hurts torque even more, because Tem ∝ Vs²:

Voltage ReductionTorque Reduction
10%19%
33% (Y-Δ method)56%
SECTION 02

Method 1 — Direct-On-Line (DOL) Starting

Performance Summary
Starting current5–7× Irated
Starting torque100% of DOL
CostLowest
ComplexityMinimal
Advantages
  • Maximum available starting torque
  • Fastest motor acceleration
  • Simple: one contactor + overload relay only
  • Reliable, low maintenance
Limitations
  • Severe voltage dip on supply bus
  • Mechanical shock to couplings & gearboxes
  • High I²t thermal stress on windings
  • Unsuitable for weak supply grids
📋Application Guide
  • P < 10 HP — generally acceptable
  • 10 < P < 50 HP — case-by-case basis
  • P > 50 HP — usually not permitted
SECTION 03

Method 2 — Star-Delta (Y-Δ) Starting

Motor designed for Δ at rated voltage is first connected in Y (phase voltage reduced by 1/√3), then switched to Δ at approximately 70–80% speed.

The 1/3 Rule — Derivation
Phase voltage in Y:   VY = VL/√3
Phase voltage in Δ:   VΔ = VL
Phase current in Y:   IY,ph = (VL/√3) / Zph
Phase current in Δ:   IΔ,ph = VL / Zph

IY,line = (1/3) · IΔ,line
TY,start = (1/3) · TΔ,start
What We Gain
  • Line current reduced to exactly 1/3 of DOL inrush
  • Starting torque reduced to exactly 1/3 of DOL torque
  • Low cost: three contactors, one timer
  • No additional power components
Key Limitations
  • Requires motor with 6 accessible terminals
  • Motor must be designed for Δ at rated line voltage
  • Y→Δ transition produces a second current transient
  • Torque reduction (1/3) may be too severe for high-inertia loads
SECTION 04

Method 3 — Autotransformer Starting

A three-phase autotransformer steps the supply down to a selected tap during starting. Common taps: 50%, 65%, 80% of VL. For tap ratio k (0 < k < 1):

Autotransformer Tap Ratio Equations
Vmotor = k · VL
Iline = k² · IDOL
Tstart = k² · TDOL
Table 1 — Tap Comparison
Tap kMotor VoltageIline/IDOLT/TDOL
0.500.50 VL0.250.25
0.650.65 VL0.420.42
0.800.80 VL0.640.64
Advantages over Y-Δ
  • Multiple selectable taps — flexible for any load type
  • Works with Y- or Δ-connected motors (no 6-terminal requirement)
  • Better torque-per-supply-ampere ratio than Y-Δ
  • Suitable for high-inertia or heavily-loaded starts
Limitations
  • Transformer is bulky and relatively expensive
  • Transition transient still present at bypass
  • Typically chosen for P > 50 HP applications
SECTION 05

Method 4 — Soft Starters

Back-to-back SCR pairs in each phase control the firing angle α, progressively raising the RMS voltage from a low initial value to full line voltage over a programmable ramp time.

🎛️Control Modes
  1. Voltage ramp — V rises linearly with time (simplest)
  2. Current limit — Is held constant during ramp (most common)
  3. Torque control — V adjusted to match load profile
  4. Kick-start — brief voltage pulse for high breakaway torque loads
Key Features
  • Smooth, jerk-free start — no transition transient
  • Soft stop (controlled deceleration) also available
  • Built-in protection: overload, phase loss, stall detection
  • Starting current only 2–4× Irated (vs. 5–7× for DOL)
⚠️
Important Limitation
Soft starters cannot provide variable speed in steady state

Soft starters control voltage only — once running, the bypass contactor locks in full voltage. For continuous speed control, a VFD is required.

SECTION 06

Method 5 — Rotor Resistance Starting (Wound-Rotor)

External resistance inserted in the rotor circuit via slip rings and brushes. By choosing Rext so that smax = 1, we achieve Tstart = Tmax — maximum starting torque at near-rated current.

Modified Slip at Maximum Torque
smax ≈ (Rr′ + Rext) / (Xth + Xr′)
Trade-off
  • Starting: Excellent torque & controlled current
  • Running: Power wasted as heat in Rext; Ploss = s · Pag
  • Largely superseded by VFDs in modern installations
SECTION 07

Starting Methods — Complete Comparison

Table 2 — Starting Methods Comparison
MethodIstart/IratedTstart/TDOLCostTransientBest For
DOL5–7×100%LowestNoneSmall motors <10 HP
Star-Delta1.7–2.3×33%LowSurge at switchoverLight loads; 10–100 HP
Autotransformer (65%)2.1–2.8×42%MediumSurge at bypassHeavy loads >50 HP
Soft Starter2–4×VariableMed-HighNoneSmooth start; all sizes
Rotor Rext≈1–1.5×Up to TmaxMediumSteppedWound-rotor; high inertia
VFD<1.5×>150%HighestNoneVariable speed; all sizes
Rule-of-Thumb Selection
  • Fixed speed, light load → Star-Delta
  • Fixed speed, heavy/high-inertia load → Autotransformer
  • Smooth start/stop required → Soft starter
  • Variable speed required → VFD (also handles starting)
Modern Trend

VFD costs have dropped dramatically. For new installations, a VFD is increasingly chosen even when constant-speed operation is the goal — it provides starting, protection, soft-stop, and energy savings in a single device.

SECTION 08

Speed Control — The Fundamental Equation

Three Independent Handles for Speed Control
nr = ns(1−s) = (120f/P)(1−s)
Table 3 — Speed Control Methods Summary
ChangeMethodQuality
Poles PPole changingSteps only
Voltage VsThyristor controlLimited range; poor efficiency
Slip sRotor resistanceWide range; very poor efficiency
Frequency fVFD (V/f control)Excellent
🎯
Efficiency Is the Discriminator
VFD changes ns directly — slip remains small at all speeds

All methods except frequency control waste power in external resistors or operate at high slip where Pr,Cu = s·Pag is large. With VFD, s ≈ 3–5% at all operating speeds, giving consistently high efficiency.

SECTION 09

Method 1 — Pole Changing

A specially wound stator is reconnected to change the number of poles, shifting the synchronous speed in discrete steps using consequent-pole winding.

Table 4 — Common Speed Pairs at 50 Hz
Pole Configuration P1/P2Speed 1 (rpm)Speed 2 (rpm)
4 / 81500750
4 / 615001000
6 / 81000750
When to Use
  • 2–3 fixed speeds are sufficient (e.g. multi-speed fans, escalators)
  • Simple control — no power electronics
  • Examples: cooling tower fans, machine-tool spindles
Limitations
  • Only discrete speed steps — no continuous variation
  • Special motor required (2 speeds: 1 winding; 3 speeds: 2 windings)
  • Motor is physically larger than a single-speed equivalent
SECTION 10

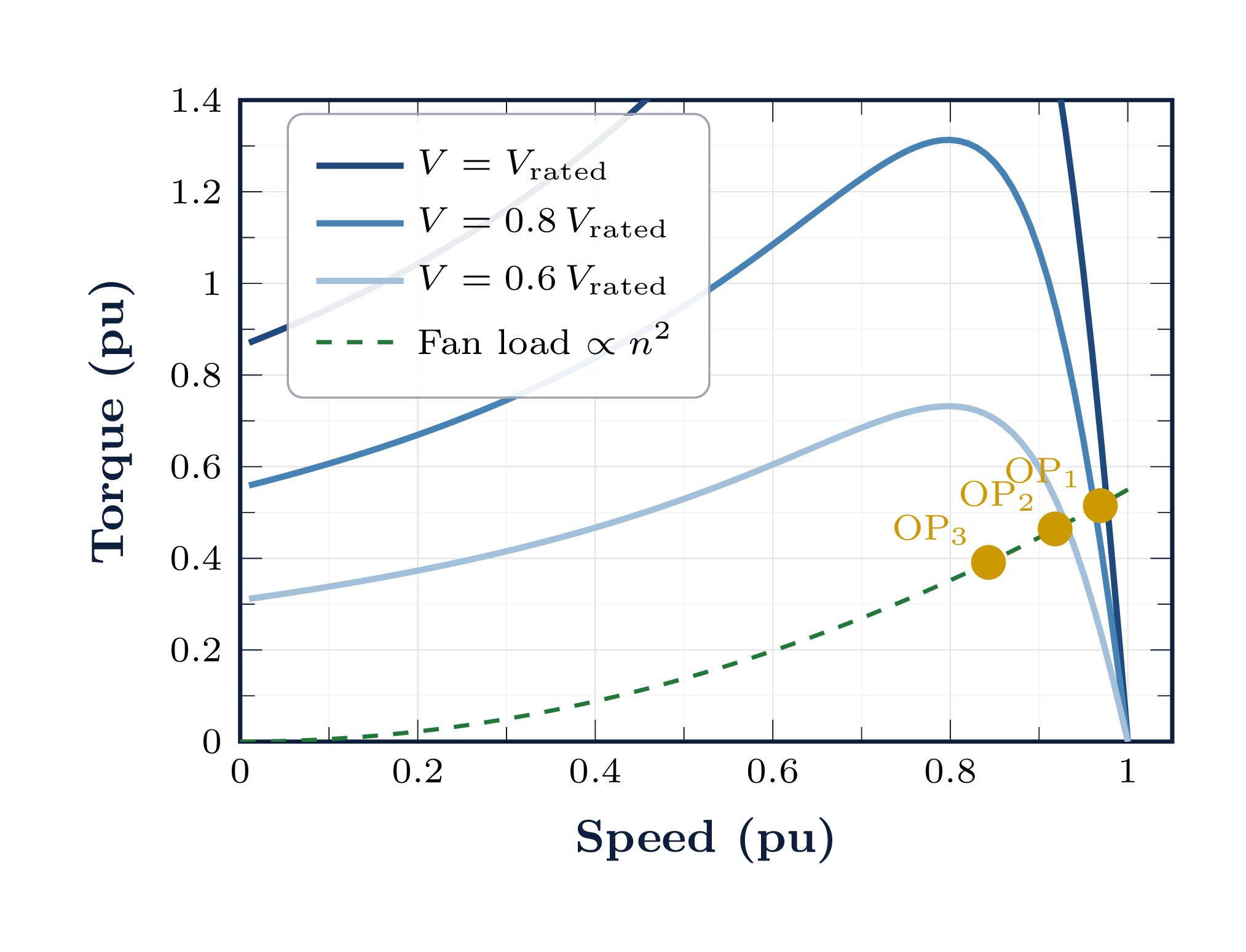
Method 2 — Voltage Control

Thyristor AC voltage controllers reduce Vs. Since Tem ∝ Vs², the torque-speed curve shifts downward — the motor settles at higher slip to match the load torque, resulting in lower speed.

Why Not for Constant-Torque Loads?

The operating point slides deep into the high-slip region. At 50% speed: s ≈ 0.5 and Pr,Cu = s·Pag = 0.5·Pag. Half of all converted power is wasted as rotor heat. The rotor overheats and efficiency collapses.

Useful range for fan/pump loads (TL ∝ n²): approximately 70–100% of rated speed only.

SECTION 11

Method 3 — Rotor Resistance Speed Control

Operating Point with External Resistance
sop ≈ [(Rr′ + Rext) / Rr′] · srated

Mechanical efficiency:   ηmech ≈ 1 − s
Modern Status — Almost Entirely Replaced by VFDs

At 50% speed (s = 0.5): only 50% of air-gap power reaches the shaft. Ploss,ext = 3·Rext·Ir′². The severe efficiency penalty at reduced speeds makes this approach economically unacceptable for new installations.

SECTION 12

Variable Frequency Drive — Architecture & Power Stages

Fig. 2 — Three-stage VFD: diode rectifier (AC→DC), DC link capacitor bank, IGBT PWM inverter (DC→variable AC).

PWM Inverter

IGBTs switch at 4–16 kHz. The motor's inductance filters the pulses to produce approximately sinusoidal fundamental currents at the desired output frequency fout.

Smooth Starting Capability

VFD ramps from f ≈ 0 Hz. Slip stays small; current remains near rated value throughout. No inrush current and no voltage dip on the supply.

SECTION 13

V/f Control — Constant Flux Principle

The stator voltage equation (neglecting Rs drop at normal speed):

Constant Flux Derivation
Vs ≈ Eag = 4.44·f·Ns·Φmax

∴ Φmax = Vs / (4.44·f·Ns) ∝ V/f

If V/f = const  ⟹  Φmax = const
Constant flux  ⟹  constant torque capability at every speed
⬇️Below Base Speed (f < frated)
  • V/f = const ⇒ Φ = const
  • Tmax approximately constant
  • Small slip ⇒ high efficiency
  • Constant-torque region
⬆️ Above Base Speed (f > frated)
  • Voltage saturates at Vmax
  • Flux decreases as f rises
  • Tmax ∝ 1/f — torque capability falls
  • Output power remains approximately constant
  • Field-weakening region
Low-Speed Voltage Boost

At low f, stator resistance drop IsRs is not negligible. A boost is added:

Vboost(f) = Vmin + [(Vrated−Vmin)/frated] · f

Vmin ≈ 15–25% of Vrated

SECTION 14

Affinity Laws & VFD Energy Savings

The Affinity Laws — Centrifugal Fans, Pumps & Compressors
Q2/Q1 = n2/n1    (Flow ∝ speed)
H2/H1 = (n2/n1)²   (Head ∝ speed²)
P2/P1 = (n2/n1)³   (Power ∝ speed³)
💰
The Cube Law — Critical Insight
Reducing speed to 75% cuts power to just 42% of full-speed demand

0.75³ = 0.422. This cube relationship makes even modest speed reductions yield enormous energy savings — and explains why VFDs are among the most cost-effective investments in industrial energy management.

Throttle Valve at 75% Flow

Motor runs at full speed; valve dissipates excess energy. Power ≈ 75–100% of rated. All energy above the process requirement is wasted as pressure drop across the valve.

VFD at 75% Flow

Motor runs at 75% speed. Power ≈ 42% of rated. No throttling loss. Energy saving ≈ 33–58%. Payback period typically 1–3 years.

SECTION 15

Lecture Summary

Starting Methods
MethodIst/IrTst/TDOL
DOL5–7×100%
Y-Δ1.7–2.3×33%
Autotransformer2–3×Selectable
Soft starter2–4×Variable
VFD<1.5×>150%
Speed Control Methods
MethodRangeEfficiency
Pole changingDiscrete stepsGood
Voltage control70–100%Poor
Rotor resistance0–100%Very poor
VFD (V/f)0–>100%Excellent
V/f Control Principle
  • Vs/f = const ⇒ Φ = const ⇒ Constant torque capability
  • Below base speed: constant-torque region
  • Above base speed: field-weakening (constant power)
  • Slip small at all speeds ⇒ high efficiency everywhere
Affinity Laws

P ∝ n³ ⇒ P₂/P₁ = (n₂/n₁)³

  • Reducing speed to 75% → power drops to 42%
  • Energy savings of 30–60% for fans/pumps
  • VFD payback: typically 1–3 years
🏆The Modern Conclusion

The Variable Frequency Drive (VFD) is the universal solution for induction motor drives. It solves the starting problem, enables continuous speed control with high efficiency, maintains small slip at all operating points, leverages the cube law for centrifugal loads, and typically pays back its cost in energy savings within 1–3 years. For new industrial installations, the VFD is the first choice — not the last resort.